ANALISIS DERET WAKTU | ekonomiakuntansiid
ANALISIS
DERET WAKTU
A.Pengertian
Dan Komponen Deret Waktu
B.Pengolahan
Data Deret Waktu
C.Penggunaan
Data Deret Waktu Dalam Ekonomi
PENDAHULUAN
Latar Belakang
Metode statistik merupakan bidang pengetahuan yang mengalami pertumbuhan
pesat. Metosdenya berkembang sejajar dengan penemuan-penemuan penting oleh para
ahli matematis dan statistisi guna menjawab persoalan-persoalan yang
dianjurkan oleh para penyelidik ilmiah. Selain daripada ilmu hayat sendiri,
ilmu pengetahuan tersebut boleh dikatakan telah mempengaruhi setiap aspek
kehidupan manusia modern. Ilmu pengetahuan tersebut sudah meliputi segalah
metode guna mengumpulkan, mengolah, menyajikan, dan menganalisa data
kwantitatif secara deskriptif. Croxton dan cowden berpendapat bahwa metode
statistik terlalu memberi tekanan pada teknik mengumpulkan, mengolah,
menyajikan, menganalisa data kwantitatif secara deskriptif agar dapat memberi
gambaran yang teratur tentang suatu peristiwa. Karena itu, metode demikian
acapkali dinamakan metode statistik deskriptif (descriptive statistics). Semakin
sering kita mempelajari tentang statistik deskriptif maka semakin banyak pula
pertanyaan tentang apa itu statistik deskriptif dan yang terkandung didalamnya
serta apa saja yang perlu di ketahui dalam mempelajari statistik.
Dalam
kesempatan ini ditulis sedikit mrngenai penjelasan tentang Analisis Deret
Berkala dengan metode Least Square (Kuadrat terkecil)
Adapun yang dpermasalahkan
dalam tulisan ini terbatas pada Analisis
Deret Berkala dengan metode Least Square
Dengan Tujuan untuk mengkaji dan menganalisis data dengan menggunakan
Analisis Deret Berkala dengan metode Least Square (Kuadrat terkecil).
1.
Pengertian Deret Berkala
2.
Komponen Deret Berkala
3.
Metode Least Square (Kuadrat terkecil)
Dengan harapan tulisan ini dapat bermanfaat bagi siapa saja membutuhkan informasi mengenai teknik menganalisis data
dengan menggunakan Analisis Deret Berkala dengan metode Least Square (Kuadrat
trkecil)
Analisis Deret Berkala dalam Statistika Deskriptif
Croxton dan Cowden memperkenalkan metode statistik tahun 1955 yaitu
dengan metode Statistik Deskriptif dengan memberi definisi statistik sebagai
metode guna mengumpulkan, mengolah, menyajikan, menganalisa dan
menginterpretasi data yang berwujud angka-angka.
Dalam metode Statistik Deskriptif terdapat berbagi jenis
metode statistik salah satunya adalah Analisisi Deret Berkala.
Pengertian Analisis Deret Berkala
·
Data yang dikumpulkan dari waktu ke waktu untuk
menggambarkan perkembangan suatu kegiatan (perkembangan produksi, harga, hasil
penjualan, jumlah penduduk, jumlah kecelakaan, jumlah kejahatan, dsb).
·
Serangkaian nilai-nilai variabel yang disusun
berdasarkan waktu.
·
Serangkaian data yang terdiri dari variabel Yi yang
merupakan serangkaian hasil observasi dan fungsi dari variabel Xi yang
merupakan variabel waktu yang bergerak secara seragam dan ke arah yang sama,
dari waktu yang lampau ke waktu yang mendatang.
Deret berkala atau runtut waktu adalah serangkaian pengamatan terhadap
peristiwa, kejadian atau variabel yang diambil dari waktu ke waktu, dicatat
secara teliti menurut urut-urutan waktu terjadinya, kemudian disusun sebagai
data statistik.
Dari suatu runtut waktu akan dapat diketahui pola perkembangan suatu
peristiwa, kejadian atau variabel. Jika perkembangan suatu peristiwa mengikuti
suatu pola yang teratur, maka berdasarkan pola perkembangan tersebut akan dapat
diramalkan peristiwa yang bakal terjadi dimasa yang akan datang.
Jika nilai variabel atau besarnya gejala (peristiwa) dalam runtut waktu
(serangkaian waktu) diberi simbol Y1, Y2, ..Yn
dan waktu-waktu pencatatan nilai variabel (peristiwa) diberi simbol X1,
X2, ..Xn maka rutut waktu dari nilai variabel Y
dapat ditunjukan oleh persamaan Y = f (X) yaitu besarnya nilai variabel Y
tergantung pada waktu terjadinya peristiwa itu.
Komponen Deret Berkala
Pola gerakan runtut waktu atau deret berkala dapat dikelompokan kedalam 4
(empat) pola pokok. Pola ini bisanya disebut sebagai komponen dari deret
berkala (runtut waktu). Empat komponen deret berkala itu adalah:
1.
Trend, yaitu gerakan
yang berjangka panjang yang menunjukkan adanya kecenderungan menuju ke satu
arah kenaikan dan penurunan secara keseluruhan dan bertahan dalam jangka waktu
yang digunakan sebagai ukuran adalah 10 tahun keatas.
2.
Variasi Musim, yaitu ayunan sekitar trend yang bersifat musiman serta kurang lebih
teratur.
3.
Variasi Siklus, yaitu ayunan trend yang berjangka lebih panjang dan agak lebih teratur.
4.
Variasi Yang Tidak Tetap (Irreguler), yaitu gerakan yang tidak teratur sama sekali.
Gerakan atau variasi dari data berkala juga terdiri dari empat komponen,
yaitu:
·
Gerakan/variasi trend jangka panjang atau long term
movements or seculer trend yaitu suatu
gerakan yang menunjukan arah perkembangan secara umum (kecenderungan menaik
atau menurun) dan bertahan dalam jangka waktu yang digunakan sebagai ukuran
adalah 10 tahun ke atas.
·
Gerakan/variasi siklis atau cyclical movements or
variation adalah
gerakan/variasi jangka panjang disekitar garis trend.
·
Gerakan/variasi musim atau seasonal movements or
variation adalah gerakan
yang berayun naik dan turun, secara periodik disekitar garis trend dan memiliki
waktu gerak yang kurang dari 1 (satu) tahun, dapat dalam kwartal, minggu atau
hari.
·
Gerakan variasi yang tidak teratur (irregular or
random movements) yaitu gerakan
atau variasi yang sporadis sifatnya. Faktor yang dominan dalam gerakan ini
adalah faktor-faktor yang bersifat kebetulan misalnya perang, pemogokan,
bencana alam dll.
Trend
Gambar 1 Variasi Trend Jangka Panjang
Gambar 2
Variasi Siklis
Dari gerakan siklis diperoleh titik tertinggi (puncak) dan titik terendah
(lembah). Pergerakan dari puncak ke lembah dinamakan “kontraksi” dan pergerakan
dari puncak ke lembah berikutnya dinamakan “ekspansi”.
o
Variasi sikli berlangsung selama lebih dari setahun
dan tidak pernah variasi tersebut memperlihatkan pola yang tertentu mengenai
gelombangnya.
o Gerakan sikli
yang sempurna umumnya meliputi fasefase pemulihan (recovery), kemakmuran
(prosperity), kemunduran / resesi (recession) dan depresi (depression).Y
T
Gambar 3
Variasi Musim
Pola musiman juga menunjukan puncak
dan lembah seperti pada siklus, tetapi lamanya variasi musim selalu satu tahun
atau kurang.Y
Gambar 4
Variasi Fluktuasi Tak Teratur
Jika dikaitkan dengan kegiatan bisnis dan ekonomi, analisis deret berkala
atau analisis time series seringkali digunakan untuk memprediksi nilai dimasa
yang akan datang. Dengan diketahuinya nilai dimasa mendatang, maka pihak
manajemen perusahaan akan dapat mengambil keputusan dengan lebih efektif.
Nilai dimasa mendatang itu pada dasarnya merupakan nilai time series dimasa
mendatang, yaitu nilai-nilai yang diharapkan dapat terjadi dimasa mendatang,
dengan dasar faktor-faktor (nilai-nilai) yang telah diterjadi dimasa lalu.
Ciri-ciri Trend
Sekuler
Trend (T) atau Trend Sekuler ialah gerakan dalam deret berkala yang
berjangka panjang, lamban dan berkecenderungan menuju ke satu arah, arah menaik
atau menurun. Umumnya meliputi gerakan yang lamanya 10 tahun atau lebih.
Trend sekuler dapat disajikan dalam bentuk :
·
Persamaan trend, baik persamaan linear maupun
persamaan non linear
·
Gambar/grafik yang dikenal dengan garis/kurva trend,
baik garis lurus maupun garis melengkung.
Trend juga sangat berguna untuk membuat ramalan yang sangat diperlukan bagi
perencanaan, misalnya :
·
Menggambarkan hasil penjualan
·
Jumlah peserta KB
·
Perkembangan produksi harga
·
Volume penjualan dari waktu ke waktu, dll
Trend digunakan dalam melakukan peramalan (forecasting). Metode yang
biasanya dipakai, antara lain adalah Metode Semi Average dan Metode Least
Square.
Metode Least Square (Kuadrat terkecil)
Metode ini
paling sering digunakan untuk meramalkan Y, karena perhitungannya lebih teliti.
Persamaan garis trend yang akan dicari ialah
Y ‘ = a0
+bx
a = ( ∑Y ) / n
b = (
∑XY ) / ∑x2
dengan :
Y ‘ = data berkala (time
series) = taksiran nilai trend.
a0 = nilai trend
pada tahun dasar.
b = rata-rata
pertumbuhan nilai trend tiap tahun.
x = variabel waktu
(hari, minggu, bulan atau tahun).
Untuk melakukan penghitungan, maka diperlukan nilai tertentu pada variabel
waktu (x) sehingga jumlah nilai variabel waktu adalah nol atau ∑x=0.
Untuk n ganjil maka :
• Jarak antara dua waktu diberi nilai satu satuan.
• Di atas 0 diberi tanda negative
• Dibawahnya diberi tanda positif.
Untuk n genap maka :
• Jarak antara dua waktu diberi nilai dua satuan.
• Di atas 0 diberi tanda negatif
• Dibawahnya diberi tanda positif.
Contoh I (Untuk jumlah data
ganjil) :
Ramalan
Penjualan Metode Least Square
Data Penjualan
(Unit) PT. GALAU Tahun 1995-1999
|
No
|
|
Tahun
(X)
|
|
Penjualan (Y)
|
|
1
|
|
1995
|
|
130
|
|
2
|
|
1996
|
|
145
|
|
3
|
|
1997
|
|
150
|
|
4
|
|
1998
|
|
165
|
|
5
|
|
1999
|
|
170
|
Dari data tersebut akan dibuat forecast penjualan dengan menggunakan Metode
least Square.
Penyelesaian :
Analisis
menggunakan metode Least Square
|
Tahun
(X)
|
|
Penjualan
(Y)
|
|
X
|
|
X2
|
|
XY
|
|
1995
|
|
130
|
|
-2
|
|
4
|
|
-260
|
|
1996
|
|
145
|
|
-1
|
|
1
|
|
-145
|
|
1997
|
|
150
|
|
0
|
|
0
|
|
0
|
|
1998
|
|
165
|
|
1
|
|
1
|
|
165
|
|
1999
|
|
170
|
|
2
|
|
4
|
|
340
|
|
Total
|
|
760
|
|
0
|
|
10
|
|
100
|
Mencari nilai a dan b
a =
760 : 5
=
152
b =
100 : 10
= 10
Setelah mengetahui nilai variabel a dan b maka
persamaan trendnya dapat diketahui yaitu :
Y = 152 + 10X
Dari persamaan fungsi Y diatas maka nilai trend dari tahun 1995 sampai
dengan 1999 dapat diketahui :
|
Tahun
|
|
Penjualan
(Y)
|
|
1995
|
|
132
|
|
1996
|
|
142
|
|
1997
|
|
152
|
|
1998
|
|
162
|
|
1999
|
|
172
|
Dari persamaan fungsi Y diatas juga dapat disusun ramalan penjualan
pada tahun berikutnya untuk dijadikan dasar pembuatan anggaran penjualan.
Y(2000) = 152 +10 (3)
= 182
|
Tahun
|
|
Penjualan
(Y)
|
|
2000
|
|
182
|
|
2001
|
|
192
|
|
2002
|
|
202
|
|
2003
|
|
212
|
|
2004
|
|
222
|
Contoh II (Untuk jumlah data genap):
Ramalan
Penjualan Metode Least Square
Data Penjualan
(Unit ) PT. KAMSEUPAY Tahun 1995-2000
|
No
|
|
Tahun
|
|
Penjualan (Y)
|
|
1
|
|
1995
|
|
130
|
|
2
|
|
1996
|
|
145
|
|
3
|
|
1997
|
|
150
|
|
4
|
|
1998
|
|
165
|
|
5
|
|
1999
|
|
170
|
|
6
|
|
2000
|
|
185
|
Dari data tersebut akan dibuat ramalan penjualan dengan menggunakan Metode
least Square.
Penyelesaian :
3.2.2.1
Analisis menggunakan metode Least Square
|
Tahun
|
|
Penjualan (Y)
|
|
X
|
|
X2
|
|
XY
|
|
1995
|
|
130
|
|
-5
|
|
25
|
|
-650
|
|
1996
|
|
145
|
|
-3
|
|
9
|
|
-435
|
|
1997
|
|
150
|
|
-1
|
|
1
|
|
-150
|
|
1998
|
|
165
|
|
1
|
|
1
|
|
165
|
|
1999
|
|
170
|
|
3
|
|
9
|
|
510
|
|
2000
|
|
185
|
|
5
|
|
25
|
|
925
|
|
Total
|
|
945
|
|
0
|
|
70
|
|
365
|
Mencari nilai a dan b
a = 945 : 6
= 157,5
b = 365 : 70 =
5,21
Setelah mengetahui nilai variabel a dan b maka persamaan trendnya dapat
diketahui yaitu :
Y = 157,5 +
5,21X
Dari persamaan fungsi Y diatas maka nilai trend dari tahun 1995 sampai
dengan 2000 dapat diketahui :
|
Tahun
|
|
Penjualan
(Y)
|
|
1995
|
|
131,45 = 131
|
|
1996
|
|
141,87 = 142
|
|
1997
|
|
152,29 = 152
|
|
1998
|
|
162,71 = 163
|
|
1999
|
|
173,13 = 173
|
|
2000
|
|
183,55 = 184
|
Dengan cara yang sama dapat pula diketahui ramalan penjualan untuk tahun
2001 – 2005 :
|
Tahun
|
|
Penjualan
(Y)
|
|
2001
|
|
193,97 = 193
|
|
2002
|
|
204,39 = 204
|
|
2003
|
|
214,81 = 215
|
|
2004
|
|
225,23 = 225
|
|
2005
|
|
235,65 = 236
|
Kesimpulan
Peramalan yang diberikan oleh metode least square dalam data berkala cukup
baik, itu menunjukkan bahwa metode least square merupakan metode yang lebih
teliti sehingga sering digunakan untuk menghitung data berkala. Selain itu
metode least square juga dapat digunakan tidak hanya untuk meramalkan penjualan
tetapi berbagai macam peramalan lainnya, seperti perkembangan KB, perkembangan
produksi, dll.
Saran
Pada perhitungan dengan metode least square tentunya juga diperlukan
ketelitian dan kecermatan agar tidak terjadi kesalahan, untuk memperkecil
kesalahan pada metode least square ini bisa menggunakan MS. Excel.
7. analisis
deret berkala 1
- 1. ANALISA DERET BERKALA
- 2. • Peramalan adalah sebuah alat utama untuk membuat keputusan dari setiap proses (pekerjaan) yang dibuat. 2
- 3. • Analisa ini digunakan untuk berbagai macam keperluan, dari menentukan bahan yang diperlukan untuk memproduksi di toko makanan rumahan sampai meramalkan hasil penjualan tahunan dari PT. Krakatau Steel. 3
- 4. • Kualitas dari cara peramalan dapat menguatkan informasi yang dapat digali dengan menggunakan data masa lalu. 4
- 5. • Analisa Deret Berkala adalah sebuah metoda kuantitatif yang dapat kita gunakan untuk menentukan pola dari data yang terkumpul beberapa waktu dimasa lalu. 5
- 6. 6 • Seorang pimpinan harus dapat meramalkan bagaimana volume penjualan tahun depan, bagaimana keadaan perniagaan bergerak dari bulan ke bulan atau dari tahun ke tahun. Misalnya berapa banyak barang harus diproduksi untuk tahun depan, tentang harga bahan-bahan baku, harga barang-barang jadi yang dihasilkan, situasi pasaran barang, keperluan pegawai dan lain sebaginya.
- 7. Tabel dibawah ini adalah sebuah contoh dari data deret berkala : Tahun Minyak Mentah (barrel) 1996 1997 1998 1999 2000 2001 2002 2003 2004 485.573,80 484.340,60 480.109,70 440.461,60 434.368,80 432.588,00 351.949,60 339.100,00 354.351,90 7
- 8. 8 • DefinisiDefinisi:: adalah sekumpulan hasil pengamatan terhadap suatu variabel yang diatur dan didapat menurut kronologis, biasanya dalam interval waktu yang sama. • Contoh lainContoh lain: penjualan mingguan barang x, produksi bulanan di seluruh industri, produksi tahunan biji besi di Indonesia dlsb.
- 9. Analisa deret berkala digunakan untuk menemukan pola perubahan dalam bentuk informasi statistic sampai melewati jarak waktu yang ada. 9
- 10. Juga akan kita rancang pola ini untuk memperoleh sebuah peramalan untuk masa yang akan datang. 10
- 11. 11 • Umumnya peneliti merasa puas jika 85% atau 90% hasil ramalan terjadi, walaupun ia menginginkan lebih tinggi. Yang jelas tidak akan/jarang tercapai hasil ramalan tepat 100%.
- 12. 12 • Data deret waktu dipengaruhi oleh berbagai faktor, misalnya: bencana alam, selera konsumen, manusia, musim, kebiasaan dlsb. Karena banyaknya faktor- faktor yang mempengaruhi, maka analisa sangat berat dan praktis tidak mungkin untuk menjelaskan pengaruh setiap faktor satu demi satu.
- 13. 13 • Analisa klasik biasanya hanya membahas pemecahan data deret waktu menjadi 4 faktor yang seakan-akan independen satu dengan yang lainnya dan dianggap penga-ruhnya dapat menjelaskan keseluruhan, yaitu:
- 14. 14 1. Gerakan yang berjangka panjang, lam- ban berkecenderungan menuju ke satu arah, naik atau turun disebut Trend Se- kuler. • Nilai dari variable cenderung untuk naik atau turun selama periode yang panjang • (Trend sekuler, Long term Variation , TS ).
- 15. 15 1. TREND Data DB Trend waktu
- 16. 16 2. Ayunan sekitar trend yang bersifat musi- man serta kurang lebih teratur, disebut Variasi Musim. • Variasi musim memiliki pola perubahan dalam satu tahun dan cenderung berulang setiap tahunnya. • (Variasi Musim , Seasonal Movement ,Vm).
- 17. 17 2. VARIASI MUSIM Data variasi musim waktu (bln)
- 18. 18 Variasi musim terkait dengan perubahan atau fluktuasi dalam musim-musim atau bulan tertentu dalam 1 tahun. Produksi Padi Permusim 0 10 20 30 I- 98 II- 98 III- 98 I- 99 II- 99 III- 99 I- 00 II- 00 III- 00 I- 01 II- 01 III- 03 Triwulan Produksi(000ton) Pergerakan Inflasi 2002 0 0,5 1 1,5 2 2,5 1 2 3 4 5 6 7 8 9 10 11 12 Bulan Inflasi(%) Indeks Saham PT. Astra Agro Lestari, Maret 2003 0 50 100 150 03 05 13 14 22 Tanggal Indeks Variasi Musim Produk Pertanian Variasi Inflasi Bulanan Variasi Harga Saham Harian
- 19. 19 3. Berjangka lebih panjang dan agak lebih tidak teratur, disebut Variasi Sikli • Perubahan dari siklis agak lebih tidak teratur. • (Variasi Sikli, Konjungtur, Cyclical Variation, VS).
- 20. 20 3. VARIASI SIKLI Data Sikli waktu
- 21. 21 Peak (Puncak) Business Cycle Resesi Depresi Revival (Pemulihan)
- 22. 22 4. Gerakan yang tidak teratur sama sekali dan yang terkenal dengan nama Variasi Random atau Residu • Dalam beberapa situasi, nilai dari variasi sama sekali tidak dapat diramalkan, perubahannya random. • (Irregular , Residu, Komponen tidak beraturan , R ).
- 23. 23 4. VARIASI RANDOM • Variasi Random (Residu), sifatnya tidak teratur dan sukar dikuasai umumnya gera- kan ini disebabkan oleh faktor kebetulan, misalnya disebabkan oleh peperangan, banjir, gempa bumi, perubahan politik, pe- mogokan dsb. Akibatnya dapat mempenga- ruhi kegiatan perdagangan, perindustrian dll sehingga gerak ini sukar dilukiskan dalam suatu model.
- 24. 24 Hubungan antara ke 4 komponen ini berbeda-beda, beberapa ahli sampai saat ini belum sependapat apakah hubungan- nya multiplikatif atau additif atau kombina- si lainnya dan mungkin ada komponen lain.
- 25. 25 1. Model Multiplikatif/ Model Perkalian Db = Ts . Vs . Vm . R Hasil bulanan dianggap sebagai produk dari ke 4 faktor. Untuk data tahunan gerak musiman tidak tercerminkan, jadi Db = Ts . Vs . R Jika Ts . Vs .R/ Ts = Vs . R → pengaruh siklis dan residu. Jika digunakan metoda rata-rata bebe- rapa Vs . R akan dihasilkan gerak Vs
- 26. 26 2. Model Aditif/ Model Pertambahan Db = Ts + Vs + Vm + R Data deret waktu merupakan hasil pen- jumlahan pengaruh Ts , Vs , Vm dan R • Dan untuk analisa selanjutnya kita mela- kukan asumsi bahwa deret berkala meru- pakan hasil perkalian dari komponen- komponennya.
- 27. I. TREND SEKULER • Trend Sekuler menunjukkan gerakan berjangka panjang. Satu cara untuk menjelaskan komponen trend adalah dengan menggabungkan sekumpulan titik- titik dalam sebuah grafik. 27
- 28. Mengapa harus mempelajari Trend Terdapat 3 alasan mengapa perlu mempelajari trend sekuler 28
- 29. 1. Mempelajari trend sekuler membuat kita dapat menjelaskan pola dari kejadian masa lalu. 29
- 30. 2. Mempelajari trend sekuler membuat kita dapat mencanangkan pola masa lalu , atau trendnya untuk waktu yang akan datang. 30
- 31. 3. Dalam beberapa situasi, mempelajari trend sekuler dari deret berkala membuat kita dapat melenyapkan komponen trend dari data berkala. 31
- 32. 32 1. TREND Tehnik menghitung serta penerapan garis trend pada gerakan sekuler 1. Metode penarapan garis linear secara bebas 2. Metode Setengah Rata-rata (Semi Average Method) 3. Metode penerapan garis trend secara matematis 4. Metode Kuadrat Minimum/Kuadrat Terkecil (Least Square Method) 5. Metode Rata-rata Bergerak/Rata-rata Berpindah (Moving Average Method)
- 33. 33 1. TREND 1. Metode penarapan garis linear secara bebas Data Y = f ( t ) . . .. . . . .. . waktu
- 34. 34 1. TREND 2. Metode Setengah Rata-rata (Semi Average Method) Yt = a0 + b t Yt adalah nilai trend pada periode tertentu a0 adalah nilai trend pada periode dasar b adalah pertambahan/ pengurangan trend tahunan secara rata-rata t adalah jumlah unit tahun yang dihitung dari periode dasar
- 35. 35 1. TREND Untuk data yang ganjil • Jumlah deret berkala dikelompokkan menjadi dua bagian yang sama dengan cara memasukkan tahun dan nilai terte- ngah kedalam tiap kelompok. • Jumlah deret berkala dikelompokkan menjadi dua bagian yang sama dengan jalan menghilangkan tahun dan nilai tertengah.
- 36. 36 1. TREND 3. Metode penerapan garis trend secara Matematis. Persamaan Yt = a0 + b t Persamaan Normal Σ Y = na + b Σ X Σ YX = a Σ X + b Σ X2
- 37. 37 1. TREND 4. Metode Kuadrat terkecil (Least Square Method) Persamaannya : Yt = a0 + b t atau Y’ = a + b x dann Y a ∑= ∑ ∑= 2 X XY b
- 38. 38 1. TREND Ekstrapolasi • Secara teknis ekstrapolsi berarti menaksir nilai yang sebetulnya terletak diluar batas nilai-nilai yang digunakan sebagi dasar perumusan persamaan trend pada umumnya.
- 39. 39 1. TREND Meskipun ekstrapolasi berguna sekali bagi pemimpin perusahaan, tetapi sifatnya sangat spekulatif dan harus diberi inter- pretasi secara hati-hati. Karena selama kurun waktu penaksiran pertumbuhan ekonomi daerah, perkembangan pasar, perubahan pola konsumsi, kegoncangan politik dlsb dapat mempengaruhi per- kembangan fenomena ekonomi dimasa yang akan datang.
- 40. 40 1. TREND 5. Metode Rata-rata Bergerak (Moving Average Method) • Didalam cara ini kita tidak mendapatkan persamaan trendnya akan tetapi kita ha- nya dapat menentukan nilai-nilai trendnya. • Metode ini sering digunakan untuk meng- ratakan deret berkala yang bergelombang
- 41. 41 1. TREND 5. Metode Rata-rata Bergerak (Moving Average Method) • Menghitungnya dari rata-rata bergerak beberapa tahun secara berturut-turut atas dasar jumlah tahun yang tertentu. Metode ini tidak memberi ketentuan ten- tang jumlah tahun yang harus digunakan sebagai dasar pengrata-rataan. Makin banyak jumlah tahun yang digunakan makin rata bentuk kurva yang diperoleh dan makin intensif kita mengisolasikan fluktuasi Musim (Vm), Residu ( R ) dan Sikli (Vs).
- 42. 42 1. TREND 5. Metode Rata-rata Bergerak (Moving Average Method) • Metode ini dibedakan atas dasar jumlah tahun yang digunakan untuk mencari rata-ratanya. • Bila kita gunakan 3 tahun sebagai dasar rata-rata bergerak, tehnik tersebut dina- makan rata-rata bergerak per 3 tahun
- 43. 43 2. VARIASI MUSIM • Fluktuasi sekitar trend yang berulang secara teratur tiap-tiap tahun disebut variasi musim (seasonal variation). Variasi ini dapat disebabkan oleh faktor alami maupun institusional dan membawa pengaruh terhadap pola itu sendiri.
- 44. 44 2. VARIASI MUSIM • Pola tersebut sangat berguna bagi perencanaan produksi, penggunaan tenaga kerja dalam jangka pendek. Selain itu pola Vm dapat digunakan bagi dasar kebijakan pimpinan perusahaan dalam mengatur diversifikasi produk dan kegiatan produksi.
- 45. 45 2. VARIASI MUSIM • Per definisi : Db = Ts . Vs . Vm . R • Untuk memperoleh Vm , maka harus mengisolasikan Ts , Vs dan R dari Db. Pengisolasian tersebut akan menghasil- kan Vm yang dapat digunakan sebagai dasar penyusunan indeks musim (seasonal indices).
- 46. 46 2. VARIASI MUSIM • Vm dari data bulanan terdiri dari 12 ang- ka indeks yang menggambarkan gera- kan musim tiap-tiap bulan dalam bentuk indeks. • Pembentukan indeks tersebut hendak- nya menggunakan rata-rata bulanan da- ri beberapa tahun agar dapat menghi- langkan fluktuasi Ts dan Vs .
- 47. 47 2. VARIASI MUSIM • Indeks yang diperoleh merupakan indeks yang menggambarkan gerakan rata-rata tiap bulan sebegai persentase dari gera-kan rata-rata semua bulan yang diikut sertakan dalam penyusunan indeks.
- 48. 48 2. VARIASI MUSIM Ada 3 cara untuk memperoleh Vm yaitu: 1. Metode rata-rata sederhana (cara % rata-rata) 2. Metode % dari trend (falkners method/ cara perbandingan dari trend) 3. Metode rasio terhadap rata-rata bergerak (cara % rata-rata bergerak atau cara perbandingan terhadap rata-rata bergerak).
- 49. 49 2. VARIASI MUSIM Ada 3 cara untuk memperoleh Vm yaitu: 1. Metode rata-rata sederhana (cara % rata-rata) • Secara sederhana metode ini bertujuan guna menghilangkan gerakan Vs dan R, baru kemudian menghilangkan Ts untuk memperoleh Vm .
- 50. 50 2. VARIASI MUSIM Ada 3 cara untuk memperoleh Vm yaitu: 1. Metode rata-rata sederhana (cara % rata-rata) Rumusnya: n adalah jumlah tahun ( ) s mss T n RVVT − ...
- 51. 51 2. VARIASI MUSIM Ada 3 cara untuk memperoleh Vm yaitu: 2. Metode % dari trend (falkners method/ cara perbandingan dari trend)
- 52. 52 2. VARIASI MUSIM Ada 3 cara untuk memperoleh Vm yaitu: 3. Metode rasio terhadap rata-rata bergerak (cara % rata-rata bergerak atau cara perbandingan terhadap rata-rata bergerak). • Hingga saat ini cara ini merupakan cara yang dianggap memuaskan dibandingkan dengan ketiga cara lainnya.
- 53. 53 2. VARIASI MUSIM Ada 3 cara untuk memperoleh Vm yaitu: 3. Metode rasio terhadap rata-rata bergerak (cara % rata-rata bergerak atau cara perbandingan terhadap rata-rata bergerak). • Rata-rata bergerak untuk data bulanan, dihitung jumlah rata-rata bergerak 12 bulan. • Rata-rata bergerak untuk data kuartalan, dihitung jumlah rata-rata bergerak 4 bulanan.
- 54. 54 3. GERAKAN SIKLI DAN RESIDU • Pengertian sikli sebetulnya variasi dari Db yang meliputi periode lebih dari 1 tahun. Pola sikli sedemikian itu paling sukar diter- ka. Lama dan amplitudo sikli tidak pernah sama. Rangkaian ayunannya memang berulang kali, tetapi sifatnya tidak pernah periodik. Lama Vs bervariasi dari periode yang meliputi beberapa tahun hingga periode yang meliputi 10 bahkan 12 tahun.
- 55. 55 3. GERAKAN SIKLI DAN RESIDU • R atau variasi random merupakan jenis fluktuasi yang disebabkan oleh faktor- faktor random atau sebab-sebab khusus yang sporadis. Variasi ini sukar ditaksir meskipun gerakannya menimbulkan vari- asi dari periode ke periode. R acapkali dapat dianggap hanya sebagai bagian dari Vs dan Vm.
- 56. 56 3. GERAKAN SIKLI DAN RESIDU Pengukuran Vm. Db umumnya terdiri dari dua komponen yaitu Ts dan Vs Bila data tahunan maka Vm tidak akan nampak R merupakan gerakan yang tidak reguler yg memiliki pengaruh yang bersifat jangka pendek jika ditinjau dari sudut periode ta- hunan sehingga pengaruhnya bertendensi saling meniadakan selama setahun.
- 57. 57 3. GERAKAN SIKLI DAN RESIDU Pengukuran Vs. Jika ditinjau dari data tahunan, nilai Ts da- pat dianggap sebagai normal, yaitu per- tumbuhan tahunan yang normal jika tidak terdapat pengaruh Vs. Dengan perkataan lain, Vs dapat dianggap sebagai deviasi dari Ts . Sehingga pemisahannya adalah dengan jalan membagi Db dengan Ts hasilnya relatif sikli (Cyclical Relatives).
- 58. 58 3. GERAKAN SIKLI DAN RESIDU % deviasi relatif sikli yaitu: 1001 × − s b T D
- 59. 59 3. GERAKAN SIKLI DAN RESIDU % deviasi residu sikli yaitu: 100× − s sb T TD
- 60. 60 3. GERAKAN SIKLI DAN RESIDU Cara menentukan gerakan Sikli (Vs). • Karena Vm untuk data tahunan tidak ada, persamaan Db = Ts .Vs . R jika persama- an tersebut kita bagi dengan Ts hasilnya adalah Vs . R • Untuk mengukur pengaruh gabungan dila- kukan pembagian antara nilai sebenarnya dengan nilai trend untuk tahun ybs. Hasilnya dinyatakan dalam %.
- 61. 61 3. GERAKAN SIKLI DAN RESIDU • Persen dari pada trend adalah: • Hasilnya dinyatakan sebagai % dari pada nilai trend. =× %100' Y Yi RV T RVT Y Y s s ssi . .. ' ==∴
- 62. 62
- 63. 63 A. Tabel dibawah ini adalah tentang jumlah pelanggan salah satu alat komunikasi di Indonesia yaitu PT “XYZ” dari tahun 2005 – 2010
- 64. 64 Tahun Jumlah Pelanggan (dalam juta) 2005 2006 2007 2008 2009 2010 4,2 5,0 5,6 6,1 6,7 7,2
- 65. Pertanyaannya : 1. Tentukan persamaan trend dari pelanggan PT. “XYZ” dengan metode: a. Metode Penerapan Garis secara bebas b. Metode Setengah Rata – rata c. Metode Matematis d. Metode Kuadrat Terkecil e. Metode Rata – rata Bergerak 65
- 66. 2. Tentukan jumlah pelanggan PT ”XYZ” pada tahun 2014. 3. Rubahlah persamaan trendnya menjadi bulanan dgn thn dsr 2006 4. Rubahlah persamaan trend (1) menjadi - trend semesteran dengan waktu dasar semester I - trend triwulan dengan waktu dasar triwulan II - trend bulanan dengan waktu dasar 15 Juli 2004 66
- 67. 5. Lakukan peramalan utk tahun 2014 dari jawaban 4 67
- 68. 1. a. Metode Penerapan Garis secara bebas 68
- 69. 69 1.b. Metode Setengah Rata-rata (Semi Average Method) a. Kasus jumlah data genap dan komponen kelompok ganjil
- 70. 70 Tahun Jumlah Pelanggan (juta) 2005 2006 2007 2008 2009 2010 4,2 5,0 5,6 6,1 6,7 7,2
- 71. 71 Tahun Jumlah Pelanggan (juta) Semi Total 2005 2006 2007 2008 2009 2010 4,2 5,0 5,6 6,1 6,7 7,2 14,80 20,0
- 72. 72 Tahun Jumlah Pelanggan (juta) Semi Total Setengah Rata-rata 2005 2006 2007 2008 2009 2010 4,2 5,0 5,6 6,1 6,7 7,2 14,80 20,0 4,93 6,67
- 73. 73 Tahun Jumlah Pelanggan (juta) Semi Total Setengah Rata-rata Nilai X Tahun dsr 2006 2005 2006 2007 2008 2009 2010 4,2 5,0 5,6 6,1 6,7 7,2 14,80 20,0 4,93 6,67 -1 0 1 2 3 4
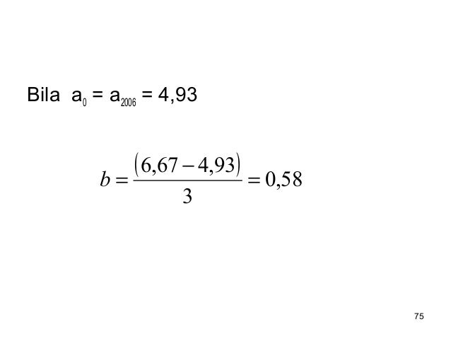
- 74. 74 4,93 adalah nilai trend jumlah pelanggan Telkom periode dasar 30 Juni 2006 6,67 adalah nilai trend jumlah pelanggan Telkom periode dasar 30 Juni 2009
- 75. 75 Bila a0 = a2006 = 4,93 ( ) 58,0 3 93,467,6 = − =b
- 76. 76 Yt = 4,93 + 0,58 t Tahun dasar 30 Juni 2006 Unit t : 1 tahun Yt : jumlah pelanggan PT ”XYZ” per tahun Yt = 6,67 + 0,58 t Tahun dasar 30 Juni 2009 Unit t : 1 tahun Yt : jumlah pelanggan PT ”XYZ” per tahun
- 77. • 0.58 = rata2 peningkatan jumlah pelanggan “XYZ” pertahun selama 2005- 2010 • 4.93 = jumlah pelanggan pada tanggal 30 juni 2006 77
- 78. 78 maka nilai trend awal tahun 2006 adalah Yt = 4,93 + 0,58 ( – ½ ) = 4,64 maka nilai trend awal tahun 2009 adalah Yt = 4,93 + 0,58 (2 ½ ) = 6,38 Bila a0 = a2009 = 6,67 maka nilai trend awal tahun 2009 adalah Yt = 6,67 + 0,58(– ½ ) = 6,38
- 79. 79 1.b. Metode Setengah Rata-rata (Semi Average Method) b. Kasus jumlah data ganjil dan komponen kelompok ganjil
- 80. 80 Untuk data yang ganjil • Jumlah deret berkala dikelompokkan men- jadi dua bagian yang sama dengan jalan menghilangkan tahun dan nilai tertengah. • Jumlah deret berkala dikelompokkan men- jadi dua bagian yang sama dengan cara memasukkan tahun dan nilai tertengah kedalam tiap kelompok.
- 81. 81 Tahun Jumlah Pelanngan (dlm juta) Semi Total Setengah Rata-rata X 2006 2007 2008 2008 2009 2010 5,0 5,6 6,1 6,1 6,7 7,2 16,7 20,0 5,57 6,67 -1 0 1 2 3 Sumber: soal di kelas
- 82. 82 • 5,57 adalah nilai trend jumlah pelanggan PT. ”XYZ” periode dasar 30 Juni 2007 6,67 adalah nilai trend jumlah pelanggan PT. ”XYZ” periode dasar 30 Juni 2009
- 83. 83 • Bila a0 = a2007 = 5,57 Maka persamaan trend 2007 adalah • Yt = 5,57 + 0,55 t Tahun dasar 30 Juni 2007 Unit t : 1 tahun Yt jumlah pelanggan PT. “XYZ” ( ) 55,0 2 57,567,6 = − =b
- 84. 84 maka nilai trend awal tahun 2006 adalah Yt = 5,57 + 0,55 (–1½ ) = 4,745 maka nilai trend awal tahun 2007 adalah Yt = 5,57 + 0,55 ( – ½ ) = 5,295 maka nilai trend awal tahun 2009 adalah Yt = 5,57 + 0,55 (1 ½ ) = 6,395
- 85. 85 c. Kasus jumlah data ganjil dan komponen kelompok genap Tahun Jumlah Pel (dlm juta) Semi Total Setengah Rata-rata Trend Awal tahun 2004 2005 2006 2007 2007 2008 2009 2010 3,8 4,2 5,0 5,6 5,6 6,1 6,7 7,2 18,6 25,6 4,65 6,40 3,49 4,07 4,65 5,23 5,23 5,81 6,39 6,97 Sumber: latihan soal
- 86. 86 • Yt = 4,65 + 0,58 t Tahun dasar 1 Jan 2006/ 31 Des 2005 Unit t : 1 tahun Yt : jumlah pelanggan dalam juta • Yt = 6,40 + 0,58 t Tahun dasar 1 Jan 2009/ 31 Des 2008 Unit t : 1 tahun Yt : jumlah pelanggan dalam juta
- 87. 87 1. TREND Metode penerapan garis trend secara matematis
- 88. 88 1.c. Metode penerapan garis trend secara Matematis. Persamaan Yt = a0 + b t Persamaan bagi nilai-nilai observasi dan nilai trend bagi garis linear adalah Σ Yt = Σ Yt‘= Σ ( a + bt) Yt adalah nilai deret berkala hasil obse- rvasi pada periode t Yt‘ adalah nilai trend yang telah dihitung pada periode t
- 89. 89 1.c. Metode penerapan garis trend secara Matematis. Persamaan Normal Σ Y = na + b ΣX Σ YX = a ΣX + b ΣX2
- 90. 90 Tahun Pelanggan 2005 2006 2007 2008 2009 2010 4,2 5,0 5,6 6,1 6,7 7,2 Jumla h 34,8
- 91. 91 Tahun X Pelanggan XY X^2 2005 2006 2007 2008 2009 2010 0 1 2 3 4 5 4,2 5,0 5,6 6,1 6,7 7,2 0 5 11,2 18,3 26,8 36 0 1 4 9 16 25 Jumla h 15 34,8 97,30 55
- 92. 92 Persamaan Normal Σ Y = na + b ΣX Σ YX = a ΣX + b ΣX2
- 93. 93 34,8 = 6 a + 15 b x 10 97,3 = 15 a + 55 b x 4 348 = 60 a + 150 b 389,2 = 60 a + 220 b − − 41,2 =− 70 b b = 0,5886
- 94. 94 34,8 = 6 a + 15 (0.5886) 6 a = 25,971 a = 4,3285 Y ‘ = 4,3285 + 0,5886 t Tahun dasar 30 Juni 2005 Unit t : 1 tahun Yt : jumlah pelanggan per tahun
- 95. 95 1. TREND d. Metode Kuadrat Minimum/Kuadrat Terkecil (Least Square Method)
- 96. 96 1.d. Metode Kuadrat terkecil (Least Square Method) Y’ = a + b x dan n Y a ∑= ∑ ∑= 2 X XY b
- 97. 97 a. Untuk data ganjil Tahun Jumlah Pelanngan (dalam juta) 2006 2007 2008 2009 2010 5,0 5,6 6,1 6,7 7,2 Jumlah 30,6
- 98. 98 a. Untuk data ganjil Tahun Jumlah Pelanngan (dalam juta) X XY X 2 Y’ 2006 2007 2008 2009 2010 5,0 5,6 6,1 6,7 7,2 - 2 - 1 0 1 2 Jumlah 30,6 0
- 99. 99 a. Untuk data ganjil Tahun Jumlah Pelanngan (dalam juta) X XY X 2 Y’ 2006 2007 2008 2009 2010 5,0 5,6 6,1 6,7 7,2 - 2 - 1 0 1 2 - 10,0 - 5,6 0 6,7 14,4 Jumlah 30,6 0 5,5
- 100. 100 a. Untuk data ganjil Tahun Jumlah Pelanngan (dalam juta) X XY X 2 Y’ 2006 2007 2008 2009 2010 5,0 5,6 6,1 6,7 7,2 - 2 - 1 0 1 2 - 10,0 - 5,6 0 6,7 14,4 4 1 0 1 4 Jumlah 30,6 0 5,5 10
- 101. 101 12,6 5 65,30 === ∑ n Y a 55,0 10 5,5 2 === ∑ ∑ X XY b Y’ = 6,12 + 0,55 t Tahun dasar 2008 Unit t 1 tahun ; Y jumlah pelanggan dlm juta
- 102. 102 a. Untuk data genap Tahun Jumlah Pelanggan (dalam juta) 2005 2006 2007 2008 2009 2010 4,2 5,0 5,6 6,1 6,7 7,2 Jumlah 34,8
- 103. 103 a. Untuk data genap Tahun Jumlah Pelanggan (dalam juta) X XY X 2 Y’ 2005 2006 2007 2008 2009 2010 4,2 5,0 5,6 6,1 6,7 7,2 Jumlah 34,8
- 104. 104 a. Untuk data genap Tahun Jumlah Pelanggan (dalam juta) X XY X 2 Y’ 2005 2006 2007 2008 2009 2010 4,2 5,0 5,6 6,1 6,7 7,2 - 5 - 3 - 1 1 3 5 Jumlah 34,8 0
- 105. 105 a. Untuk data genap Tahun Jumlah Pelanggan (dalam juta) X XY X 2 Y’ 2005 2006 2007 2008 2009 2010 4,2 5,0 5,6 6,1 6,7 7,2 - 5 - 3 - 1 1 3 5 - 21 - 15 5,6 6,1 20,1 36 Jumlah 34,8 0 20,61
- 106. 106 a. Untuk data genap Tahun Jumlah Pelanggan (dalam juta) X XY X 2 Y’ 2005 2006 2007 2008 2009 2010 4,2 5,0 5,6 6,1 6,7 7,2 - 5 - 3 - 1 1 3 5 - 21 - 15 - 5,6 6,1 20,1 36 25 9 1 1 9 25 Jumlah 34,8 0 20,61 70
- 107. 107 80,5 6 8,34 === ∑ n Y a 2944,0 70 61,20 2 === ∑ ∑ X XY b Y’ = 5,80 + 0,2944 t Tahun dasar jan 2008/ des 2007 Unit ½ tahun ; Y jumlah pelanggan dlm juta
- 108. 108 1. TREND e. Metode Rata-rata Bergerak/Rata-rata Berpindah (Moving Average Method)
- 109. 109 Tahun Jumlah Pelanggan (dalam juta) Jumlah bergerak selama 3 thn Rata-rata bergerak per 3 th 2005 2006 2007 2008 2009 2010 4,2 5,0 5,6 6,1 6,7 7,2 14,8 16,7 18,4 20,0 4,94 5,57 6,13 6,67
- 110. 2. Tentukan jumlah pelanggan PT. ”XYZ” pada tahun 2013 110
- 111. 111 Persamaan trend adalah : Y’ = 6,12 + 0,55X Tahun dasar 2008 Unit X : 1 tahun Unit Y : jumlah pelanggan PT. “XYZ” dlm juta
- 112. 112 2. Peramalan Pelanggan PT Telkom pada tahun 2013 Y’ = 6,12 + 0,55 (5) = 8,87 Jumlah pelanggan PT. “XYZ” pada bulan juni 2013 berkisar 8,87 juta orang
- 113. 3. Rubahlah persamaan trendnya menjadi bulanan dgn thn dsr 2010 113
- 114. 114 3. Perubahan Tahun dasar, var Y dan var X Tahun 2010 , Y’ = 6,12 + 0,55 (2) = 7,22 a. Y’ = 7,22 + 0,55 X Tahun dasar 2010 Unit X : 1 tahun Unit Y : banyaknya pelanggan PT. “XYZ” per tahun
- 115. 115 3. Perubahan Tahun dasar, var Y dan var X b. Y’ = 0,6017 + 0,046 X Tahun dasar 2010 Unit X : 1 tahun Unit Y : banyaknya pelanggan PT. “XYZ” per bulan
- 116. 116 3. Perubahan Tahun dasar, var Y dan var X c. Y’ = 0,6017 + 0,00038 X Tahun dasar 2010 Unit X : 1 bulan Unit Y : banyaknya pelanggan PT. “XYZ” per bulan
- 117. 4. Rubahlah persamaan trend (1) menjadi - trend semesteran dengan waktu dasar semester I - trend triwulan dengan waktu dasar triwulan II - trend bulanan dengan waktu dasar 15 Juli 2009 117
- 118. 118 Persamaan trend adalah : Y’ = 6,12 + 0,55X Tahun dasar 2008 Unit X : 1 tahun Unit Y : jumlah pelanggan PT. “XYZ” dlm juta
- 119. 119 4. Merubah persamaan trend dari hasil perhitungan menjadi : a. Trend semesteran dengan waktu dasar semester I (april 2008) Y’ = 6,12 + 0,55 X Y’ = ½ { 6,12 + ( 0,55 X )/ 2 }
- 120. 120 4. Merubah persamaan trend dari hasil perhitungan menjadi : a. Trend semesteran dengan waktu dasar semester I (april 2008) Y’ = 6,12 + 0,55 X Y’ = ½ { 6,12 + ( 0,55 X )/ 2 } = 3,06 + 0,1375 ( – 0,5 ) + 0,1375 X = 2,99125 + 0,1375 X
- 121. 121 4. Merubah persamaan trend dari hasil perhitungan menjadi : b. Trend triwulanan dengan waktu dasar triwulan II ( 15 Mei 2008) Y’ = 6,12 + 0,55X Y’ = ¼ { 6,12 + ( 0,55 X ) /4 } = 1,53 + 0,0344 ( – 0,5 ) + 0,0344 X = 1,5128 + 0,0344 X
- 122. 122 4. Merubah persamaan trend dari hasil perhitungan menjadi : c. Trend bulanan dengan waktu dasar 15 Juli 2008. Y’ = 6,12 + 0,55X Y’ = 1/12 { 6,12 + ( 0,55 X ) /12 } = 0,51 + 0,0038 ( 0,5 ) + 0,0038 X = 0,5119 + 0,0038 X
- 123. 123 5. Tentukan banyaknya pelanggan PT. “XYZ” pada tahun 20013 dari jawaban (4) a. Y’ = 2,99125 + 0,1375 ( 10,5 ) = 4,435 b. Y’ = 1,5128 + 0,0344 ( 20,5 ) = 2,218 c. Y’ = 0,5119 + 0,0038 ( 60 ) = 0,7399
- 124. 124 5. Tentukan banyaknya pelanggan PT. “XYZ” pada tahun 20013 dari jawaban (4) a. Y’ → 4,435 x 2 = 8,87 b. Y’ → 2,218 x 4 = 8,87 c. Y’ → 0,7399 x 12 = 8,88 (krn pembulatan)
- 125. 125 2008 2009 2010 2011 2012 20013 J F M A M J J A S O N D J F M A M J J A S O N D J F M A M J J A S O N D J F M A M J J A S O N D J F M A M J J A S O N D J F M A M J J A S O N D
- 126. 126
- 127. 127 Tabel dibawah ini adalah tentang data panen jagung dari tahun 2003 – 2009 Tahun Panen Jagung 2003 2004 2005 2006 2007 2008 2009 40 44 46 48 52 58 60
- 128. 128 Pertanyaannya : a. Gambarkan garis trend b. Tentukan persamaan garisnya dengan metoda kuadrat terkecil. c. Tentukan besarnya jumlah panen jagung pada tahun 2012. d. Rubahlah persamaan trendnya menjadi bulanan dengan tahun dasar 2009
- 129. 129 e. Rubahlah persamaan trend (b) menjadi - trend semesteran dengan waktu dasar semester I - trend triwulan dengan waktu dasar triwulan II - trend bulanan dengan waktu dasar 15 Juli 2009 f. Lakukan peramalan utk tahun 2012 dari jawaban e
DAFTAR PUSTAKA
Frederick E. Croxton dan Dudley J. cowden, Applied
General Statistics, second edition, Prentice-Hal, Inc., N.Y. 1995, bab I.
S.S Wilks, Elementary Statistics Analysis, Princeton
University Press, N.Y.,
1994, bab II
Boediono, Dr, Wayan Kaester, dr, Ir. MM. 2001. Teori dan Aplikasi
Statistika dan Probabilitas, Penerbit Pt. Remaja Rosdakarya. Bandung
Kuswadi dan Erna Mutiara. 2004. Statistik Berbasis Komputer untuk
Orangorang Non Statistik. Elex Media Komputindo. Jakarta.
Supranto,J. M.A. 2000. Statistik : Teori dan Aplikasi, Edisi Keenam,
Jilid 1, Erlangga, Jakarta.
Santoso, Singgih 2001. Aplikasi Excel dalam Statistik Bisnis. Elex
Media Komputindo. Jakarta.
Santoso, Singgih. 2006. Seri Solusi Bisnis Berbasis TI : Menggunakan
SPSS dan Excel untuk mengukur Sikap dan Kepuasan Konsumen. Penerbit PT. Elex
Media Komputindo. Jakarta.
Dan sumber
lain.

b. Metode Setengah Rata - rata
Tahun Penjualan
bersih Semi
–
total Setengah rata-rata 1961 1962 1963 1964 1965 1966 1967 1968 1969 1970 1971 1972 1973 1974 127 134 176 165 159 179 215 232 238 322 389 368 394 386 -

Tahun Penjualan
bersih Semi
–
total Setengah rata-rata 1961 1962 1963 1964 1965 1966 1967 1968 1969 1970 1971 1972 1973 1974 127 134 176 165 159 179 215 232 238 322 389 368 394 386 - - - 1.155 - - - - - - 2.329 - - - - - - 165,000 - - - - - - 332,714 - - -
332,714
–
Catatan:
Melakukan analisis data deret waktu tanpa memplotnya terlebih dahulu adalah
tidak valid.

Untuk menentukan Trend suatu data deret waktu dapat
digunakan beberapa cara :
1. Metode Kuadrat Terkecil (
Least Square Method
) 2. Metode Tangan Bebas (
Freehand Method
), 3. Metode Rataan Semi (
Semi Average
). 4. Metode Rataan Bergerak (
Moving Average
)
1. FAKTOR TREND

a. Metode Least Square
Pada Metode
Least Suare, estimasi persamaan garis lurus trend rumusnya adalah :
Y = Nilai
prediksi Y untuk suatu nilai X
a =
Konstanta
b = slope

C 1 (
data ganjil
)
Data penjualan PT BEJO JAYA selama 5 tahun adalah :
Tahun Penjualan
1985 7 1986
10 1987 9 1988 11 1989 13
1.Buatlah persamaan garis trend linier dengan menggunakan
metode least square. 2. Carilah penjualannya menurut persamaan garis trend. 3.Buatlah
prediksi untuk tengah tahun 1990 dan awal 1991.

Contoh 2 (
data genap
)
Data penjualan PT RIBUT JAYA selama 6 tahun adalah :
Tahun Penjualan
1984 2 1985
4 1986 3 1987 6 1988 5 1989 10
1.Buatlah persamaan garis trend linier dengan menggunakan
metode least square. 2. Carilah penjualannya menurut persamaan garis trend. 3.Buatlah
prediksi untuk tengah tahun 1990 dan awal 1991.

b. Metode Setengah Rata - rata
Tahun Penjualan
bersih Semi
–
total Setengah rata-rata 1961 1962 1963 1964 1965 1966 1967 1968 1969 1970 1971 1972 1973 1974 127 134 176 165 159 179 215 232 238 322 389 368 394 386 -

Tahun Penjualan
bersih Semi
–
total Setengah rata-rata 1961 1962 1963 1964 1965 1966 1967 1968 1969 1970 1971 1972 1973 1974 127 134 176 165 159 179 215 232 238 322 389 368 394 386 - - - 1.155 - - - - - - 2.329 - - - - - - 165,000 - - - - - - 332,714 - - -
332,714
–
165 =
23,959 Rata-rata annual trend incrementnya = 167,714 : 7 = 23,959 Nilai Trend tahun 1968 = 165 + 4
(23,959) =260,836 Nilai trend tahun 1962 = 165 - 2 (23,959) = 117,082
